姚氏宗亲网
标题: 《姚氏百世源流考》族谱介绍 [打印本页]
作者: 姚尚明 时间: 昨天 21:46
标题: 《姚氏百世源流考》族谱介绍

《姚氏百世源流考》是姚氏宗族谱牒中极具权威性与学术价值的传世典籍,由清末著名目录学家、藏书家、绍兴姚家埭姚氏后裔姚振宗倾毕生心力纂修,是梳理姚氏血脉传承、彰显宗族文化、佐证中华姓氏融合史的核心文献,历经岁月沉淀,仍为姚氏宗亲寻根问祖、学界研究姓氏文化的重要范本。
一、族谱核心基础信息
(一)编修年代
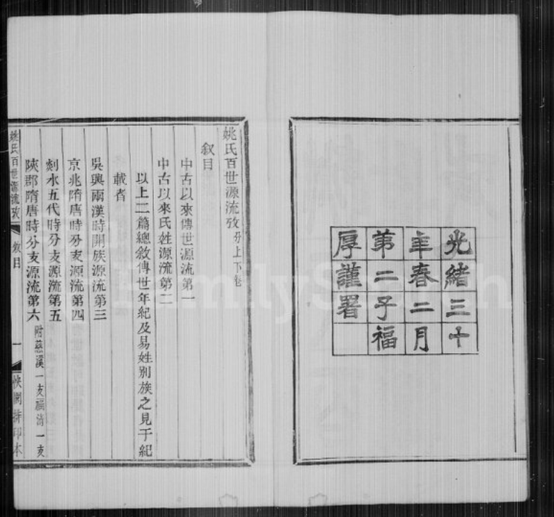
该书编纂始于清末光绪年间,历经多年考据、搜集、整理,最终成书于光绪三十年(1904年),是姚振宗晚年最重要的著作之一。编纂期间,姚振宗广征博引,耗时良久,甚至倾家荡产搜集各类史料,力求内容的真实性与完整性,成书后以清末绍兴姚氏快阁绿格稿本传世,现存版本藏于复旦大学图书馆,另有部分抄本、影印本散落于各地图书馆及姚氏宗亲手中,其中浙江湖州藏本尤为珍贵。孝和云谱藏谱阁提供1904年版线装郑的全册数字影印谱。
(二)编修人简介
编修人姚振宗(1842~1906年),字海槎,号师庐,浙江绍兴府山阴县(今绍兴市越城区)姚家埭人,清末著名目录学家、藏书家、谱牒学家,姚氏姚家埭厚社一脉后裔。其家族源流可上溯至南宋初扈驾南渡的姚镐,源自吴兴姚氏正统,系舜帝后裔。姚振宗自幼浸润于家族文化与古籍典籍之中,家中“石狮山房”藏书楼藏书数万卷,为其治学奠定了坚实基础。
姚振宗毕生致力于目录学与谱牒学研究,其著作《隋书经籍志考证》被誉为清朝目录学的巅峰之作,治学严谨、考据精审,擅长以正史、地方志校补谱牒,纠正历代记载谬误。他编纂《姚氏百世源流考》的初衷,源于对家族文脉的坚守——因战乱导致姚氏旧谱多有失传,祖辈世系记载断层,后偶然发现南宋先祖姚琛留下的三篇家谱序文,得以补上唐代以前的传承空白,遂决心整理零散史料,还原姚氏百世传承脉络,留存宗族记忆。
(三)族谱版本与体例
该书现存核心版本为清末紹興姚氏快閣綠格稿本,共八卷三册,另有后世影印本、抄本传世;部分记载将其收录于《绍兴姚氏谱》中,以两卷本流传。其体例严谨,堪称谱牒编纂的典范,采用“时序为纲、地理为目”的双重结构,上卷以时间为脉络,收录《中古以来传世源流》《吴兴两汉时开族源流》等八篇,系统梳理姚氏自舜帝至宋元时期的世系传承与分支迁徙;下卷以地理为脉络,覆盖二十余省县的姚氏聚居地,清晰呈现姚氏“吴兴开族、全国播迁”的分布格局,附录部分专门记载南安赤亭羌姚氏、云南南诏蛮姚氏等少数民族姚姓源流,尽显中华姓氏文化的多元融合。
(四)核心记载内容
该书核心记载了姚氏自上古舜帝以来近五千年的血脉传承,上溯姚氏始祖舜帝(姚重华),因其生于姚墟而得姓,梳理舜帝后裔历经姚、妫、陈、田等姓氏演变,至西汉姚平复姓姚氏、定居吴兴(今属浙江德清),成为姚氏发祥地的完整脉络;详载京兆、陕郡、冀州、会稽等姚氏核心支派的演变,重点记录唐宰相姚崇等名臣的正统世系,厘清姚氏各支派的迁徙轨迹——从吴兴向河南、河北、浙江、福建等多地播迁,尤其详考绍兴姚家埭姚氏的源流,证实该支源自吴兴姚氏陕郡分支,晚唐迁冀州,南宋姚镐扈驾南渡定居会稽,最终形成姚家埭姚氏,为姚启圣等姚氏名人的谱系传承提供了权威支撑。
书中兼顾史料考证与宗族记忆,既融合《唐书·宰相世系表》等正史、地方志及南宋《敬爱堂谱》旧序等文献,纠正历代谱牒中的诸多谬误,填补唐代以前姚氏世系的记载空白;又收录姚氏宗族的祖训、先贤事迹,同时记录少数民族姚姓的渊源,明确区分民间族谱与正史记载的差异,尤其厘清了姚逄与羌族姚氏首领家族的非直接血缘关系,体现了严谨的治学态度。
二、族谱的核心影响力
(一)对姚氏宗族的影响力
1. 寻根问祖的权威依据:该书是姚氏宗亲认祖归宗的核心典籍,上溯舜帝、下贯千年,清晰梳理了姚氏百世传承的血脉脉络与支派迁徙轨迹,解决了历代姚氏旧谱记载断层、谬误的问题,让散居各地的姚氏宗亲得以追溯本源、联结亲情,成为维系姚氏宗族凝聚力的精神纽带。时至今日,仍是姚氏宗亲寻根问祖、修缮家谱的必备参考蓝本。
2. 宗族文化的传承载体:书中不仅记载世系名录,更蕴含姚氏“耕读传家、忠勇报国”的精神内核,收录姚氏先贤的德行事迹、祖训家风,将舜帝的仁德、姚崇的治世智慧、姚镐的坚韧、姚启圣的报国之志与姚振宗的治学坚守代代传递,滋养着姚氏后裔的处世之道,推动姚氏宗族文化的永续传承。
3. 宗族认同的凝聚核心:该书的编纂与传世,让姚氏宗亲明确了自身“舜帝嫡裔”的身份认同,厘清了各支派的同源关系,强化了“天下姚氏一家亲”的宗族观念。无论是古代的宗族联谊,还是近现代的姚氏宗亲联谊会、祭祖活动,该书都是凝聚宗亲情感、统一宗族认知的重要依托,为姚氏宗族的绵延兴旺提供了精神支撑。
(二)对学术研究的影响力
1. 姓氏学研究的重要范本:该书首次系统厘清了“妫汭五姓”(姚、妫、陈、田等)的同源关系,印证了姚氏与妫、陈、田等姓氏同为舜帝嫡裔的历史事实,填补了姚氏姓氏演变研究的诸多空白,其“以史志校补谱牒、注重版本考订”的治学方法,将谱牒编纂提升至学术研究的高度,为后世姓氏学、谱牒学的研究提供了宝贵的治学借鉴。
2. 移民史与民族融合研究的珍贵史料:书中详细记载了姚氏自吴兴向全国多地播迁的脉络,尤其记录了晚唐、南宋等战乱时期姚氏的迁徙历程,为研究古代人口迁徙、地域文化交融提供了具体而详实的史料支撑;同时收录羌族、云南南诏等少数民族姚姓的源流,清晰展现了姚氏姓氏在发展过程中与各民族的融合历程,为研究中华各民族文化交融史提供了重要参考。
3. 地方史与名人研究的佐证文献:该书详载绍兴姚家埭姚氏等地方支派的发展历程,以及姚崇、姚镐、姚启圣等姚氏名人的谱系传承与相关事迹,纠正了以往史料中关于这些名人世系的谬误记载,为研究绍兴地域文化、唐宋至明清时期的名人历史提供了权威的文献佐证,尤其为姚启圣生平事迹的考证提供了核心支撑。
(三)对中华传统文化的影响力
1. 谱牒文化的典范之作:在中华谱牒文化的璀璨星河中,《姚氏百世源流考》以其严谨的体例、精审的考据、完整的记载,成为清末谱牒编纂的典范,彰显了中华谱牒文化“敬祖、收族、明世系、传家风”的核心内涵,推动了谱牒文化的规范化发展,为后世谱牒的编纂提供了可借鉴的范本。
2. 中华姓氏融合的鲜活见证:该书打破了单一宗族记载的局限,兼顾中原姚氏与少数民族姚氏的源流,清晰呈现了中华姓氏“多元起源、交融发展”的特点,印证了中华传统文化“兼容并蓄、生生不息”的精神内核,为研究中华姓氏文化的包容性提供了鲜活的实例。
3. 传统治学精神的传承体现:姚振宗在编纂过程中,秉持“实事求是、考据精审”的治学态度,耗费毕生心血、倾尽家资搜集史料,以目录学专长校补谱牒,这种坚守学术、传承文脉的精神,不仅体现在典籍之中,更成为中华传统文化中治学精神的重要组成部分,影响着后世学者的治学理念。
三、族谱传世价值与后世评价
《姚氏百世源流考》的传世价值,早已超越了一部宗族谱牒的范畴,它既是姚氏宗族的“家族史书”,记录着一个家族跨越五千年的血脉与文脉;也是一部兼具学术性、史料性的文化典籍,为姓氏学、移民史、民族融合史、地方史研究提供了不可替代的珍贵史料;更是中华传统文化的重要载体,承载着敬祖收族、崇文重德、家国同构的传统理念。
后世学者评价其“上溯舜帝,下贯千年,考据精审,脉络清晰”,称其为“姚氏宗亲寻根的权威宝典、中华谱牒文化的瑰宝”。它的传世,不仅让姚氏百世传承的血脉有迹可循、文脉得以延续,更让中华姓氏文化的深厚底蕴与包容性得以彰显,在岁月流转中,始终发挥着联结宗亲、传承文脉、佐证历史、滋养后人的重要作用,成为姚氏宗族乃至中华传统文化中不可多得的文脉瑰宝。
% C: ?. L% h* P8 k4 E7 @- N2 V
| 欢迎光临 姚氏宗亲网 (http://www.yaogens.com/portal/) |
Powered by Discuz! X3.2 |